| 일 | 월 | 화 | 수 | 목 | 금 | 토 |
|---|---|---|---|---|---|---|
| 1 | 2 | 3 | 4 | 5 | 6 | |
| 7 | 8 | 9 | 10 | 11 | 12 | 13 |
| 14 | 15 | 16 | 17 | 18 | 19 | 20 |
| 21 | 22 | 23 | 24 | 25 | 26 | 27 |
| 28 | 29 | 30 | 31 |
- Google OAuth
- 일급 컬렉션
- synchronized
- Volatile
- Dependency Injection
- spring security
- 일급 객체
- factory
- Spring
- OAuth 2.0
- builder
- java
- lombok
- Today
- Total
HJW's IT Blog
Computer Network: 12주차 본문
Link Layer
> Host 와 router 는 nodes 라 부른다
> 이웃하는 노드들을 잇는 경로: links
>> wired, wireless, LANs
> datagram -> frame
>Datagram 은 다른 링크 프로토콜을 통해 링크 사이에 전달된다
> 각 프로토콜은 서로 다른 서비스를 제공한다.
> Transportation Analogy
>> tourist: Datagram
>> transport segment: Communication Link
>> Transportation mode: Link Layer Protocol
>> Travel agent: Routing Protocol
Link Layer Services
> Framing, Link Access
>> Datagram을 암호화 하여 frame 으로 만들고 헤더와 trailer 추가
>> Shared medium 인 경우 channel access
>> 송신지와 수신지를 알기 위해, 헤더에 포함된 MAC 주소를 사용
> 인접 노드 간의 신뢰성 있는 전송
>> low bit-error link에서는 거의 사용되지 않음
>> wireless: high error rates
> Flow Control
>> 인접한 송신, 수신 노드간에 페이스를 맞춘다
> Error Detection
>> 신호 감쇠, 노이즈로 인한 오류 발생
>> 수신자가 오류 감지
>> 재전송신호를 보내거나 프레임 삭제
> Effort Correction
>> 비트오류를 식별 & 수정
> Half-duplex, full-duplex
>> Half-duplex 를 사용하면 양 끝에 있는 노드 모두 전송이 가능하지만 동시에는 x
Where is Link Layer Implemented??
> 모든 호스트에서
> In Adapteor ( network interface card )
> 호스트의 시스템 버스에 연결
> HW, SW, Firmware 의 합작
Adaptors Communicating
# sending side
> 데이터 그램을 프레임으로
> error checking bit, rdt, flow control 등을 추가
# receiving side
> 에러, rdt flow control 등을 찾는다
> Datagram 을 추출, 상위 계층으로 전달
Error Detection
# Note
> EDC = Error Detection and Correction bits
> D = Data protected by error checking
> 에러 감지는 100% 신뢰성있지는 않다

# Parity Checking
> Single bit parity : Detect single bit errors

> Two-dimensional bit parity: Detect and correct bit errors

#Cyclic Redundancy Check
> Data bits = D (binary)
> r+1 bit pattern 을 고른다: G
> 목표: choose r CRC bits, R, such that
>> <D,R> is exactly divisable by G
>> 수신자가 G를 알고 <D,R>을 G로 나눈다. -> 0이외의 값이 나온다면 error
>> r+1 bit 보다 작은 에러들 모두 감지 가능
# 6.3 Multiple Access Protocols
# Multiple Access Links, Protocols
> 두 종류의 링크
>> Point to point
>> Broadcast
> Multiple access protocols
>> 하나의 공유된 broadcast channel
>> 노드들의 두개 이상의 동시 전송: Interference
>>> 한 노드가 두개 이상의 signal 을 한번에 받을 경우 : collision
>> Distributed Algorithm: 어떻게 노드들이 체널을 공유할지를 결정
>> 체널 공유에 대한 communication은 해당 체널을 사용해야 한다: no out-of-band channel for coordiantion
> Ideal Multiple access protocol
>> 가정: broadcast channel rate (R bps)
1. 한 노드가 전송하고자 하면, rate R에 가능
2. M 개의 노드가 전송하고자 하면 각자 R/M rate 에 가능
3. Fully Decentralized
- no special node to coordinate transmission
- no synchronization of clocks, slots
4. simple
>MAC Protocols: 3가지
>> Channel Partitioning
- 체널을 더 작은 조각으로 나누고 그 조각을 노드에게 할당
- 받은 조각은 독점적
>> Random Access
- 채널을 분할하지 않고 충돌을 허용
- 충돌 발생시 복구
>> Take Turns
- 노드들이 번갈아 가며 채널을 사용
- 많은 데이터를 전송해야 하는 노드는 더 길게 사용 가능
#Channel Partitioning
> TDMA: Time Division Multiple Access
>> round 형식으로 채널에 접근
>> 각 스테이션은 라운드마다 고정길이 슬롯을 할당 받는다 ( length = packet transmission time)
>> 사용되지 않는 슬롯은 비활성화

> FDMA: Frequency Division Multiple Access
>> 채널 은 frequency band로 나뉜다
>> 각 스테이션은 고정 frequency band를 할당 받음
>> 사용되지 않는 벤드는 비활성화

#Random Access Protocols
> 노드가 보낼 패킷이 있다면
>> 그냥 최대 전송률로 보내버린다.
> collison 발생
> 이 프로토콜은 다음을 정의해야 함
>> collision 을 어떻게 감지하는지
>> collision으로 부터 어떻게 복구하는지
> Slotted ALOHA
>> 가정
- 모든 프레임은 같은 크기
- 시간은 같은 슬롯크기로 나뉜다
- 노드는 슬롯 시작부분에서만 전송을 시작
- 노드들은 동기화 상태
- 둘 이상의 노드가 전송을 하면 모든 노드가 충돌 감지
>> 동작
- 노드가 fresh frame 을 얻으면 다음 슬롯에서 전송
- if ( no collision) : node can send new frame in next slot
- if (collision): node retransmits frome in each subsequent slot until success
>> Pros
- 하나의 활성화 된 노드는 최대 전송률로 보낼 수 있다
- Highly decentralized: 노드 내의 slot들만 동기화 필요
- simple
>> Cons
- Collisions
- Idle slots
- Node가 패킷이 전송되기 전 충돌을 감지할 수도 있다
- clock 동기화
> Pure(unslotted) ALOHA
>> Frame 이 도착하면 즉시 재전송
>> Collition 확률이 높아진다

> 각 방법 효율성
>> 가정(slotted)
- 프레임을 많이 보내야 하는 N개의 노드, 각 각 p의 확률로 전송
- Success prob 특정노드: p(1-p)^N-1
- 아무 노드나 성공할확률: Np(1-p)^N-1
- Np(1-p)^N-1 을 최대화 하는 p 가 효울 제일 good
- N 이 무한대로 갈때 37%
>> Pure Efficiency
- p ( 1- p) ^(2*(N-1))
- N 이 무한대로 갈때 18%
+> CSMA(Carrier Sense Multiple Access)
>> Listen before transmit
>> Channel이 idle 감지시 전체 프레임을 전송
>>> 채널이 사용중일경우 전송을 연기
>>> 다른 사람 방해 x
>> 하지만 여전히 collision 이 발생 가능
>>> 전파지연(propagation delay) 는 서로의 전송을 듣지 못할 수 있음
>>> distance / propagation delay 는 충돌 확률 계산
>> Collision Detection
>>> Collision 이 감지되면 즉시 abort (reduce channel waste)
>>> 유선 LAN 에서는 쉽다: measure signal strength, compare transmitted, received signals
>>> 무선 LAN 에서는 어렵다: 시그널이 약해서
>> Ethernet CSMA/CD Algorithm
1. NIC 가 데이터그램을 받고 frame을 만든다
2. NIC가 휴식중인 체널 감지시 frame transmission을 시작한다
- NIC 체널이 바쁨을 감지하면 휴식중인 체널을 기다린다
3. NIC가 다른 transmission 없이 전송에 성공하면 끝
4. 중간에 다른 transmission 이 감지되면 abort & jam
5. Abort 후 NIC는 binary backoff 수행
- m 번째 collision에서는 K를 고른다 {0,1,2,...,2^m -1}
- NIC 가 K*512 bit times 동안 기다리고 step 2로 복귀
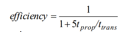
>> CSMA/CD 효율성
>>> t(prop) = LAN 연결에서 두 노드 사이의 최대 prop delay
>>> t(trans) = time to transmit max size frmae

>>> 효율성은 1에 가까워진다 when
- t(prop) 이 0과 가까워질때, t(trans)가 무한대가 될때
>>> better performance than ALOHA: simple, cheap, decentralized

Taking Turns MAC Protocols
>> Channel Partitioning MAC protocols
>>> 체널을 효율적으로 이용
>>> 만약 비효율적이고 느리다면, channel access 에 delay, 1/N bandwidth. (even with one active node)
>> Random Access MAC Protocols
>>> Efficient at +low load: 하나의 노드가 체널을 전부 사용가능
>>> High load: collision+
>> Polling
>>> "Master Node" 가 slave node 들을 초대하여 각자의 turn 을 갖도록
>>> 멍청한 slave node들과 보통 사용
>>> concerns: polling overhead, latency , single point of failure
>> Token passing
>>> control token 이 한 노드에서 다른 노드로 순차적으로 전달
>>> concerns: token overhead, latency, single point of failure

'컴퓨터 네트워크' 카테고리의 다른 글
| Computer Network: 14주차 (0) | 2023.06.08 |
|---|---|
| 컴퓨터 네트워크: 13주차 (0) | 2023.05.30 |
| Computer Network: 11주차 (0) | 2023.05.21 |
| Computer Network: 10주차 (0) | 2023.05.20 |
| Computer Network: 9주 (0) | 2023.05.19 |